
Copyright © 2010 Future Technology Devices International Limited 2
Document Reference No.: FT_000148
USB-COM232-PLUS4 Datasheet
Version 1.2
Clearance No.: FTDI# 97
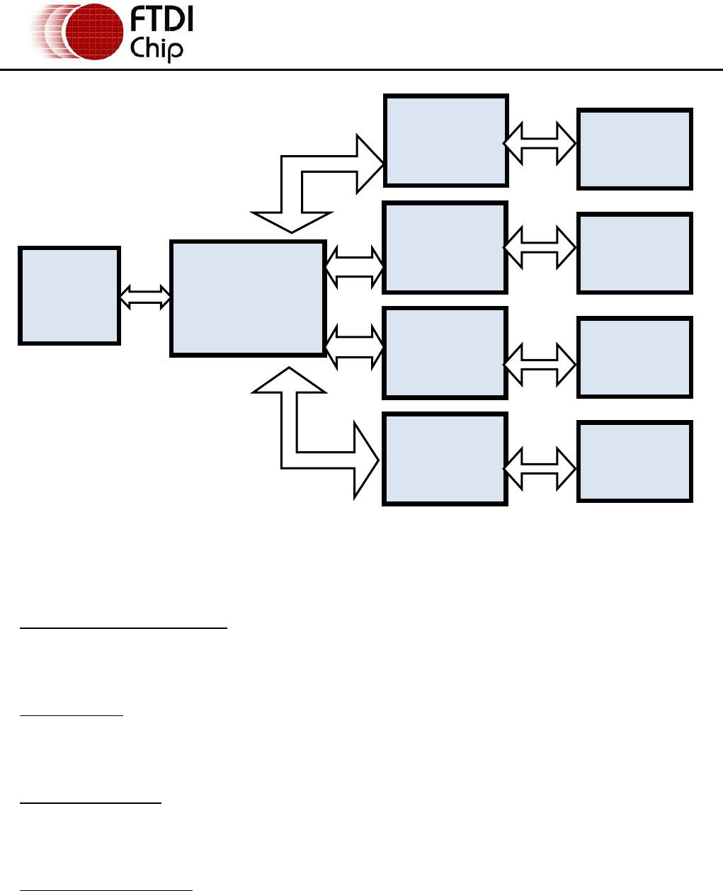
Figure 1.2 USB-COM232-PLUS4 Block Diagram
1.3.1 Block description
USB MINI B Client Connector
This connector provides the interface for connection to a USB Host or Hub port. The maximum cable
length is 5 meters, according to the USB 2.0 specification.
FTDI FT4232H
The FTDI FT4232H provides the Hi-Speed USB-to-Serial conversion. Operating system device drivers are
required in order to work with the FT4232H to provide the quad Virtual COM Port serial interfaces.
RS232 Level Shifter
The RS232 level shifter converts the signals provided by the FT4232H into the voltage levels required by
RS232 devices.
DE-9P Connector (Male)
The DE-9P connector is configured in an industry standard (TIA/EIA-574) pin-out to provide connection to
RS232 peripherals through standard cables. See section 3.1.2
USB MINIB
Client
Connector
FTDI FT4232H
USB Serial Bridge
Komentarze do niniejszej Instrukcji